-
2019MBA真题答案及解析-MBA数学解析(雄松华章文字版)
-
2019年全国管理类硕士研究生招生入学考试初试于(12月22日周六上午8:30-11:30,下午14:00-17:00)开考,全部统考科目实行网上评卷。
雄松华章MBA官网特邀名师,第一时间抢先发布2019年管理类联考各科目真题及答案解析
雄松华章官网MBA/MPA/MPAcc/MEM/MTA/Maud真题答案解析直播专题
走出考场 ■ 对答案 ■ 出分数
(↓ 点击下图进入真题解析专题 ↓)
在线对答案,精准估分
2019年全国管理类硕士研究生入学统一考试
综合能力真题【答案抢先版】
一、问题求解:第1-15 小题,每小题 3 分,共 45 分。下列每题给出的 A 、 B 、 C 、 D 、 E 五个选项中,只有一项是符合试题要求的。

1.某车间计划10天完成一项任务,工作3天后事故停工2天,若仍要按原计划完成任务,则工作效率要提高( )
A.20% B.30% C.40% D.50% E.60%
1.【参考答案】C


2.【参考答案】B


3、某影城统计了一季度的观众人数,如图,则一季度的男、女观众人数为()
A、3:4 B、5:6 C、12:13 D.13:12 E.4:3
3.【参考答案】C


4.【参考答案】D
【解析】:ab=6,特值法a=2,b=3满足条件,a2+b2=4+9=13选D

5.【参考答案】E


6、将一批树苗种在应该正方形花园边上,四角都种,如果每隔3米种一棵,那么剩下10课树苗,如果每隔2米种一棵那么种满正方形的3条边,则这批树苗有( )棵
A、54 B、60 C、70 D、82 E、946.【参考答案】D


7、在分别标记1、2、3、4、5、6的6张卡片里,甲抽取1张,乙从余下的卡片中再抽取2张,乙的卡片的数字之和大于甲的卡片数字的概率为( )

7.【参考答案】D


8、10名同学的语文和数学成绩如下:
语文成绩:90、92、94、88、86、85、87、89、91、93
数学成绩:94、88、96、93、90、85、84、80、82、98
语文和数学成绩的均值分别为E1和E2,标准差分别为δ1和δ2,则
A.E1>E2, δ1>δ2 B.E1>E2, δ1<δ2 C.E1>E2, δ1=δ2 D.E1<E2, δ1>δ2 E.E1<E2, δ1<δ2
8.【参考答案】B


9、如图,正方体于半径为3m球内,且一面位于球的大圆上,则正方体的表面积最大为()
A.12 B.18 C.24 D.30 E.36


9.【参考答案】E
【解析】:立体几何,正方体表面积,答案为36,选E。



10.【参考答案】B


11. 某单位要铺设草坪,若甲乙两公司合作需6天完成,工时费共2.4万元,若甲公司单独做,4天后由乙公司接着做9天完成,工时费共计2.35万元。若由甲公司单独完成该项目,则工时费共计()万元
A.2.25 B.2.35 C.2.4 D.2.45 E.2.5
11.【参考答案】E



12、如下图,六边形ABCDEF是平面与棱长为2的正方体所截得到的,若A、B、D、E分别为相应棱的中点,则六边形ABCDEF的面积为

12.【参考答案】D


A.72 B.80 C.90 D.95 E.100
13.【参考答案】C


14.某中学的5个学科各推荐2名教师作为支教候选人,若从中选派来自不同学科的2人参加支教工作,则不同的选派方式有( )
A.20 B.24 C.30 D.40 E.45
14.【参考答案】D


15.【参考答案】A


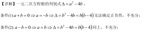
二、条件充分性判断:第16〜25小题,每小题3分,共30分。要求判断每题给出的条件(1)和条件(2)能否充分支持题干所陈述的结论。 A 、 B 、 C 、 D 、E 五个选项为判断结果,请选择一项符合试题要求的判断。
A . 条件(1)充分,但条件(2)不充分.
B . 条件(2)充分,但条件(1)不充分.
C . 条件(1)和(2)单独都不充分,但条件(1)和条件(2)联合起来充分.
D、条件(1)充分,条件(2)也充分
E、条件(1)和条件(2)单独都不充分,条件(1)和条件(2)联合起来

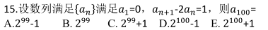
16.甲乙丙三人各自拥有不超过10本图书,甲丙购入2本图书后,他们拥有的图书数量构成等比数列,则能确定甲拥有图书的数量
(1)已知已拥有的图书数量
(2)已知丙拥有的图书数量
16.【参考答案】C


17.有甲、乙两袋奖券,获奖率分别为p和q,某人从两袋中各随机抽取1张奖券,则此人获奖的概率不小于3/4
(1)已知p+q=1
(2)已知pq=1/4
17.【参考答案】D



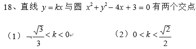
18.【参考答案】A


19.能确定小明年龄
(1)小明年龄是完全平方数
(2)20年后小明年龄是完全平方数
19.【参考答案】C



20.【参考答案】D



21.如图,已知正方形ABCD面积,O为BC上一点,P为AO的中点,Q为DO上一点,则能确定△PQD面积
(1)O为BC的三等分点
(2)Q为DO的三等分点

21.【参考答案】B


22.设n为正整数,则能确定n除以5的余数
(1)已知n除以2的余数
(2)已知n 除以3的余数
22.【参考答案】E


今年与去年相比,物理系平均分没变,则理学员录取平均分升高了
(1)数学系录取平均分提高了3分,生物系录取平均分降低了2分
(2)化学系录取平均分提高了1分,地理学系录取平均分降低了4分
23.【参考答案】C


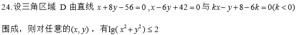
24.【参考答案】A



25.【参考答案】A

推荐阅读:
1、2019MBA真题及答案解析-【MBA英语】真题及答案解析
2、2019MBA真题及答案解析-【MBA逻辑】真题及答案解析
3、2019MBA真题及答案解析-【MBA写作】真题及答案解析
-
推荐阅读您可能感兴趣的课程
















