-
2022MBA考研真题答案及解析-MBA数学真题解析(雄松华章文字版)
-
【雄松华章讯】雄松华章MBA官网特邀名师,第一时间抢先发布2022年管理类联考各科目真题及答案解析。考完试当天,考生可以微信搜索【MBA估分】小程序,进行在线对答案,预测是否能上线!当晚华章名师直播真题解析,数学/逻辑/英语/写作全科讲解,答案更准,估分更靠谱。

一、问题求解:第1-15 小题,每小题 3 分,共 45 分。下列每题给出的 A 、 B 、 C 、 D 、 E 五个选项中,只有一项是符合试题要求的。
1、施工队施工3天,因故停工2天,提速20%,还能按原计划完成工作,则原计划工作( )天
A、9天
B、10天
C、12天
D、15天
E、18天
2、利润率为12%,成本变为80%时,利润率为多少?
A、32%
B、35%
C、40%
D、45%
E、48%
3、x/y为实数,f(x, y)=x²-4xy+5y²-2y+2,则最小值为( )
A、1
B、1/2
C、2
D、3/2
E、3
4、

A、

B、

C、

D、

E、

5、

A、8/15
B、7/15
C、3/5
D、2/5
E、2/3

6、

A、9/2
B、7/2
C、

D、

E、

7、有8个杯子,杯口向上,的每次翻转3个杯子,最少几次可以将所有的杯子杯口向下?
A、3
B、4
C、5
D、6
E、8
8、甲乙丙丁三个部门,若甲部门26人去丙部门以后则丙的人数为甲的人数的6倍;若乙部门5人去丙部门,则乙丙部门人数相等;则甲乙部门人数差除5以后余数是( )
A、0
B、1
C、2
D、3
E、4
9、直角三角形ABC ,C是直角,D是AB边中点,以AD为直径做圆交AC于E,若三角形ABC面积是8,则三角形ADE面积为( )
A、1
B、2
C、3
D、4
E、6
10、已知自然数的各位数字均为105的质因数,且每个质因数最多出现一次则这样的质因数有()个
A、6
B、9
C、12
D、15
E、27

11、甲和乙的单价和为1.4元,200个甲玩具和150个乙玩具为250元,则甲的单价为()
A、0.5元
B、0.6元
C、0.7元
D、0.8元
E、0.9元
12、甲乙足球队的比分为4:2,乙从来没有领先过,则进球顺序有( )种
A、6
B、8
C、9
D、10
E、12
13、4个男生和2个女生站成一排,则女生既不在两边也不相邻的概率为( )
A、1/2
B、5/12
C、3/8
D、1/3
E、1/5
14、AB两地相距208km,甲、乙从A出发,丙从B出发,相向而行,甲速度60km/h,乙速度80km/h,丙速度90km/h,则( )分钟以后,甲丙距离和乙丙距离相等
A、70
B、75
C、78
D、80
E、86
15、4个颜色涂5块区域,则共有( )种涂法

A、12
B、24
C、32
D、48
E、96

二、条件充分性判断
16、

A、条件( 1 )充分,但条件( 2 )不充分
B、条件( 2 )充分,但条件( 1 )不充分
C、条件( 1 )和条( 2 )单独都不充分,但条件( 1 )和条件( 2 )联合起来充分
D、条件( 1 )充分,条件( 2 )也充分
E、条件( 1 )和条件( 2 )单独都不充分,条件( 1 )和条件( 2 )联合起来也不充分
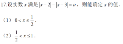
17、

A、条件( 1 )充分,但条件( 2 )不充分
B、条件( 2 )充分,但条件( 1 )不充分
C、条件( 1 )和条( 2 )单独都不充分,但条件( 1 )和条件( 2 )联合起来充分
D、条件( 1 )充分,条件( 2 )也充分
E、条件( 1 )和条件( 2 )单独都不充分,条件( 1 )和条件( 2 )联合起来也不充分
18、两个人数不等的班数学测试的平均分不相等,则能确定人数多的班
(1) 已知两个半的平均分(2) 已知两个半的总平均分
A、条件( 1 )充分,但条件( 2 )不充分
B、条件( 2 )充分,但条件( 1 )不充分
C、条件( 1 )和条( 2 )单独都不充分,但条件( 1 )和条件( 2 )联合起来充分
D、条件( 1 )充分,条件( 2 )也充分
E、条件( 1 )和条件( 2 )单独都不充分,条件( 1 )和条件( 2 )联合起来也不充分
19、在△ABC中,D为BC边上的点,BD、AB、BC成等比数列,则∠BAC=90°
(1)BD=DC(2) AD⊥BC
A、条件( 1 )充分,但条件( 2 )不充分
B、条件( 2 )充分,但条件( 1 )不充分
C、条件( 1 )和条( 2 )单独都不充分,但条件( 1 )和条件( 2 )联合起来充分
D、条件( 1 )充分,条件( 2 )也充分
E、条件( 1 )和条件( 2 )单独都不充分,条件( 1 )和条件( 2 )联合起来也不充分

20、将75名学生分为25组,每组3人,则能确定女生人数
(1) 已知全男的组合全女的组
(2) 只有1男的组合只有1女的组相等
A、条件( 1 )充分,但条件( 2 )不充分
B、条件( 2 )充分,但条件( 1 )不充分
C、条件( 1 )和条( 2 )单独都不充分,但条件( 1 )和条件( 2 )联合起来充分
D、条件( 1 )充分,条件( 2 )也充分
E、条件( 1 )和条件( 2 )单独都不充分,条件( 1 )和条件( 2 )联合起来也不充分
21、某直角三角形的三边长a,b,c成等比,则能确定公比的值
(1) a是直角边长
(2) c是斜边长

A、条件( 1 )充分,但条件( 2 )不充分
B、条件( 2 )充分,但条件( 1 )不充分
C、条件( 1 )和条( 2 )单独都不充分,但条件( 1 )和条件( 2 )联合起来充分
D、条件( 1 )充分,条件( 2 )也充分
E、条件( 1 )和条件( 2 )单独都不充分,条件( 1 )和条件( 2 )联合起来也不充分
22、

A、条件( 1 )充分,但条件( 2 )不充分
B、条件( 2 )充分,但条件( 1 )不充分
C、条件( 1 )和条( 2 )单独都不充分,但条件( 1 )和条件( 2 )联合起来充分
D、条件( 1 )充分,条件( 2 )也充分
E、条件( 1 )和条件( 2 )单独都不充分,条件( 1 )和条件( 2 )联合起来也不充分
23、

A、条件( 1 )充分,但条件( 2 )不充分
B、条件( 2 )充分,但条件( 1 )不充分
C、条件( 1 )和条( 2 )单独都不充分,但条件( 1 )和条件( 2 )联合起来充分
D、条件( 1 )充分,条件( 2 )也充分
E、条件( 1 )和条件( 2 )单独都不充分,条件( 1 )和条件( 2 )联合起来也不充分

24、

A、条件( 1 )充分,但条件( 2 )不充分
B、条件( 2 )充分,但条件( 1 )不充分
C、条件( 1 )和条( 2 )单独都不充分,但条件( 1 )和条件( 2 )联合起来充分
D、条件( 1 )充分,条件( 2 )也充分
E、条件( 1 )和条件( 2 )单独都不充分,条件( 1 )和条件( 2 )联合起来也不充分
25、

A、条件( 1 )充分,但条件( 2 )不充分
B、条件( 2 )充分,但条件( 1 )不充分
C、条件( 1 )和条( 2 )单独都不充分,但条件( 1 )和条件( 2 )联合起来充分
D、条件( 1 )充分,条件( 2 )也充分
E、条件( 1 )和条件( 2 )单独都不充分,条件( 1 )和条件( 2 )联合起来也不充分
相关阅读:
2022MBA考研真题答案及解析-MBA英语二真题解析(雄松华章文字版)
2022MBA考研真题答案及解析-管理类综合真题解析(雄松华章文字版)
2022MBA考研真题答案及解析-MBA逻辑真题解析(雄松华章文字版)
2022MBA考研真题答案及解析-MBA写作真题解析(雄松华章文字版)

-
推荐阅读您可能感兴趣的课程


